🗳️🇨🇲 1 % des PV (~300 bureaux de vote) bien répartis suffisent à donner une tendance fiable (±1 % d’erreur). Si certains refusent de publier les tendances sous prétexte de “compter tous les PV”, c’est simple : Ils ne comptent rien ! ils fabriquent les résultats !
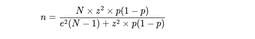
@KmerObosso Tu as raison ( sauf sur la derniere ligne ), en effet une population de 300 elements peut aider a faire une estimation sur 30 000, a condition que la distribution ait ete correcte suivant la formule ci-dessous, maintenant ou je ne suis pas d'accord avec toi, pour que ...
@FNgaba85814 Quand je parle de „bien précis“, cela inclut la répartition correcte des données entre les sous-groupes afin de garantir une distribution correcte. Ceci nous permet d’éliminer toute variable cachée susceptible de nous plonger dans le paradoxe de Simpson.
@KmerObosso Les compositions sociologiques et ethnique ne sont pas les mêmes, il y a beaucoup de paramètres à prendre en compte avant de se lancer dans cet exercice. Exple: Si on prends 300 PV au Sud où à l'Est, Biya aura 100% Si on prends à l'extrême Nord, ITB aura un pourcentage favorable
@AchilleEmvoutou Relis bien mon post. J’ai précisé "bien répartis" pour justement tenir compte des cas comme celui que tu viens de décrire.
@KmerObosso Après, faut voir les compétences ! Est-ce-qu'ils travaillent avec des statisticiens ou ils ont juste entrepris de faire des recopies et sommes sur Excel ? Quelle est la répartition démographique des BdV ? Les départements significatifs ? L'impact potentiel des autres ? Fini.
@jfn__________ Non mais rassure-moi… ils sont vraiment en train de compter les grains de riz un par un ? 😅
@KmerObosso Le problème c'est que les PVs viennent par batch d'une même zone. Donc tu peux avoir 300 PVs mais tous sont de Bafoussam, du Mfoundi, ou de l'Extrême Nord. Et ils sont aussi traités par zone Demande toi pourquoi aucun parti n'a encore publié de "tendances" chiffrées
@KmerObosso @grok as t'il raison ou est t'il seulement ignorant pire est t'il peu être bête ?
@KmerObosso Il fallait donc choisir de faire voter cet échantillon puisqu’il est représentatif de tout le pays. Parfois on se demande si vous êtes forcé d’écrire.
@KmerObosso Ce sont des blagueurs. Ils pensent que les camerounais sont bêtes.
@KmerObosso Tu as tout faux. 1% c'est absolument ridicule pour dîner d'une tendance.
@KmerObosso Tu réfléchis plus vite que l'IA
@KmerObosso Donnes l’exemple
@KmerObosso Merci🫱🏿🫲🏾 je l’ai expliqué ici ont a demandé les signatures
@KmerObosso Faux


