A new study shows that a 1/3 of a clove of garlic reduces insulin resistance and even induces weight loss. (and no, it's not just a correlation) (đź§µ1/6)
The study was published on August 6, in the Journal of Health, Population and Nutrition. Researchers examined women with PCOS and insulin resistance, two conditions known to often go hand in hand. (2/6)
Women in the study had no other medical conditions. They had no prior garlic consumption. The study was for 8 weeks. Garlic was administered as a tablet, with a 2-3 mg allicin content, which is the major bioactive compound in garlic. This amount is equivalent to ~1/3 of a
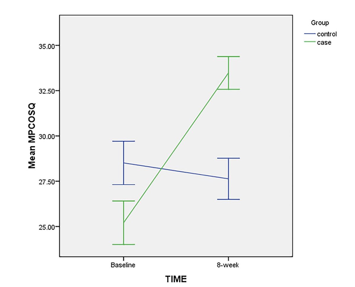
Those consuming the garlic improved in nearly every metric. Weight (~10 lbs)↓ Waist circumference ↓ Hip circumference ↓ BMI ↓ Fasting blood sugar ↓ Triglycerides ↓ LDL ↓ Total cholesterol ↓ Blood pressure↓ CRP (inflammation)↓ SHBG ↓ While those receiving placebo tend
Women's PCOS symptoms also dramatically improved - resulting in a much higher quality of life index. (5/6)
Why is garlic so helpful for insulin resistance? Garlic as I said contains Allicin, a sulfur containing compound with various protective effects. Allicin: â—‡ Is a direct antioxidant â—‡ Inhibits cell death receptors â—‡ Inhibits NADPH oxidase - a major source of endogenous free
If YOU want IN DEPTH help from us with any of your health goals, schedule a free call here: https://go.prism.miami/consult...
Read the full study here: https://pmc.ncbi.nlm.nih.gov/a...
If you’re interested in getting lab testing, we offer a ton of different tests you can get without even needing to go to a doctor below. 10% off using code “ANALYZE” at checkout. https://revelationdiagnostics....
Be sure to check out all of our content, supplements and join our email list for exclusive offers here: http://www.analyzeandoptimize....
@nkhare if it makes you burp you might have a sulfur bacterial overgrowth
@Outdoctrination Can you link the study?
@theunretired read til the end!
@Outdoctrination I wonder if having cooked garlic removes the amount of good allicin content… since cooked garlic is remarkably free from the strong garlic taste? I’m amazed how it’s easy to eat 5 whole cooked garlic cloves easily.
@Outdoctrination Any loss of efficacy if cooked?
@man_decoded yes, definitely. needs to be raw, best if raw, chopped and let to sit out for 10-30 min
@Outdoctrination Garlic’s allicin showing real drops in insulin resistance and weight in PCOS women? That’s legit. The study nails improvements across the board not just a hype thing. Just remember, it’s garlic in tablet form, so eating cloves raw might not do the exact same. Still, solid
@Outdoctrination Your thread is everybody's favorite! #TopUnroll https://threadreaderapp.com/th... 🙏🏼@tomburrows83 for 🥇unroll
@Outdoctrination Do you lose the benefits if it’s cooked?
@Outdoctrination Garlic’s power goes beyond flavor excited about its role in insulin and weight control!
@Outdoctrination Garlic’s role here highlights the value of nutraceutical research — but also the need for rigorous trials to separate clinical impact from anecdotal hype.
@Outdoctrination Fascinating to see natural compounds showing measurable metabolic effects. What’s next is understanding the mechanisms at a molecular level and validating in larger cohorts.
@Outdoctrination @threadreaderapp unroll
@Outdoctrination @grok how about HDL?
@Outdoctrination Administered as a tablet? Like not actually garlic then it they cut it like a tablet? Or does that refer to how it's taken (ie. Swallowed whole instead of chewed)?







